Font size: +

Methods of following reactions

Time is always a factor when measuring reaction rate

3.9 - 3.16 Rates of reaction

paint must not dry too quickly  3.9 - 3.16 What is rate? How fast a chemical...
https://www.mychem.co.uk/index.php/igcse-chemistry/physical-chemistry/rates-of-reaction

Any measurable factor which changes as a reaction proceeds can be used to measure the rate. The gradient  of graphs give a reading for the reaction rate. 


 Dodgy data discussion

This data is rough!   Beware of drawing false conclusions from it!

This classic reaction can be used in the laboratory to produce either of the two graphs above.

You could measure the mass of the reaction mixture vs time. This will give data as shown in the table. Looking at the data what can you say about how the rate of reaction changes as the reaction proceeds?

When is this a safe assumption?

 Stop the clock

The iodine clock reaction is a classic reaction which can be used to compare the initial rate of a reaction.There are two reactions taking place simultaneously in the solutionBoth are redox reactions:

Iodine is produced in reaction 1

But iodine produced in the above reaction is immediately removed by the vitamin C.Now after a short time as the reactions keep proceeding in this fashion, the Vitamin C gets gradually used up. The Vitamin C creates a clock reaction (1 - 2 minutes) and once it is used up, the solution turns blue, because now the iodine element and starch are present.

ascorbic acid removes iodine

 Experiment simulation: Calcium Carbonate and hydrochloric acid

Enter your text here ...


 Exam Questions

Enter your text here ...

This question requires you to work on the graph to obtain a value for  the half life ot the reaction. Show your workings on a copy of the graph.

Balance a redox equation - recognise a graph type and then use initial rate data 

Use a rate equation to predict values and changes and then suggest a two step process. 


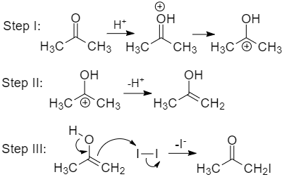
 Two step mechanisms.


Enter your text here ...

What rate equation is consistent with  this mechanism?  

How does substitution via this mechanism affect optical activity?

What are the implications of this mechanism for the rate equation? 

How does substitution via this mechanism affect optical activity?

Enter your text here ...

Enter your text here ...

Entropy

Intro image Edexcel 1Edexcel 2OCR Enter your text here ...  Exothermic reactions always lead to an increase in entropy of the surroundings.  In an example like this - the burning of magnesium  in oxygen - the entropy of the system decreases  because a giant ionic lattice ( Magnesium Oxide) is formed from the magnesium metal...
https://www.mychem.co.uk/index.php/a-level/energetics/entropy

Electrode potentials and voltaic cells

Voltaic cells are used to power a huge variety of devices Redox reactions involve the transfer of electrons from one species ( the reducing agent)  to another ( the oxidising agent). When magnesium burns in oxygen the magnesium atoms lose electrons and are oxidised to become ions. The oxygen atoms gain electrons and are reduced to become ions.  Voltaic cells use redox reactions to tran...
https://www.mychem.co.uk/index.php/equilibria-2/electrode-potentials