Font size: +

4.38 - 4.43 - Esters

 4.38. A fragrant functional group

esters can often be found in perfume

​When an alcohol reacts with a carboxylic acid an ester is formed.  A water molecule is also produced in this process. Acid is used to catalyse the reaction.This is an example of a condensation reaction. 

Esters of low molecular weight (Mr)  are often used as fragrances and are found in essential oils.

 Students should:

  • 4.38C know the ester functional group

Carboxylic acids have a functional group which can be represented as  -CO2H . If attached to an alkyl group (R) this becomes R-CO2H. The alcohol functional group is  - OH. If attached to an alkyl group (R') this becomes R' - OH

When these two functional groups react together with the loss of a water molecule the result is an ester 

an ester with formula R-CO2R'

​R groups. 

The letter R is used for represent any alkyl group. An alkyl group is a length of alkane molecule ( minus one hydrogen atom) eg : - CH3 ( methyl)  ,  - C3H7 (propyl).


 4.39 - 4.40 Activity 1. Ethyl ethanoate would smell as sweet

 Students should:

  • 4.39C know that ethyl ethanoate is the ester produced when ethanol and ethanoic acid react in the presence of an acid catalyst
  • 4.40C understand how to write the structural and displayed formulae of ethyl ethanoate

 4.41 Activity 2. Ester by name, fruity by nature

 Students should:

  • 4.41C understand how to write the structural and displayed formulae of an ester, given the name or formula of the alcohol and carboxylic acid from which it is formed and vice versa
  • 4.42C know that esters are volatile compounds with distinctive smells and are used as food flavourings and in perfumes

​Watch the video to find out how to name esters if given its displayed formula. To do this you need to know the name of the carboxylic acid and the name of the alcohol. 

The name of the alcohol becomes "alkyl" and is used as the prefix. The carboxylic acid name  becomes "carboxylate and is the suffix. Thus ethanol and ethanoic acid react together to form the ester called ethyl ethanoate

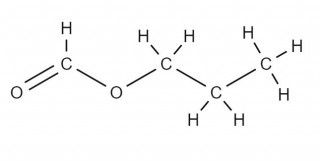
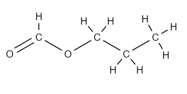
Name each of the three esters whose displayed formulae are given below: 

Propyl methanoate
Methyl propanoate
ethyl ethanoate

 4.42 - 4.43 Activity 3. From Vomit to Pineapple

 Students should:

  • 4.43C practical: prepare a sample of an ester such as ethyl ethanoate

In this video you will see how a foul smelling carboxylic acid can be changed into the sweet smell of pineapple. The reaction involves a carboxylic acid combining with an alcohol to form an ester and shows two important laboratory preparation and separation techniques. 

  1. Name and  draw the displayed formula of the carboxylic acid that smells like vomit, 
  2. Name and  draw the displayed formula of the alcohol used?
  3. What is the other "ingredient" is needed to help the esterification reaction?
  4. What is the purpose of this other "ingredient" ?
  5. What apparatus is used to help the carboxylic acid combine with the alcohol? 
  6. Name and  draw the displayed formula of the of the ester formed? 
  7. What does this product smell like?
  8. How is the ester product separated from the reactants?
  9. What is reflux? 
  10. What is distillation?
  1. butyric acid

      2.Ethanol

​       3.Sulfuric acid

       4. Esters react in the presence of an acid catalyst. the sulfuric acid acts as a catalyst to speed up the rate of reaction.

       5.A round bottom flask with a Bunson burner and a condenser

      6.ethyl butanoate

       7. The ethyl butanoate will smell like pineapple

       8. Using a separatory funnel

       9. Reflux involves heating a liquid continuously while cooling off the vapour that is produced using a condenser.

       10. Distillation separates the components of a substance using selective boiling and condensation.

GCSE CHEMISTRY